Reflection and symmetry in a circle
Definition :
Suppose \(S\) is a line or circle. A pair of points \(z_{1}\),\(z_{2}\) is called symmetric with respect to \(S\) if every line or circle through the two points intersects \(S\) orthogonally.
Proposition
Fractional linear transformations preserve symmetry. That is, if \(z_{1}\) and \(z_{2}\) are symmetric with respect to a line or circle \(S\), then for an FLT \(T\), \(T(z_{1})\) and \(T(z_{2})\) are symmetric with respect to \(T(S)\).
Proof
From the definition of symmetry in terms of lines and circles and angles, the fractional linear transformations map lines and circles to lines and circles, and being conformal, preserve angles.
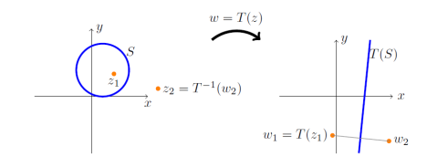
Theorem
Suppose \(S\) is a line or circle and \(z_{1}\) a point not on \(S\). There is a unique point \(z_{2}\) such that the pair \(z_{1},z_{2}\) is symmetric with respect to \(S\).
Proof
Let \(T\) be a fractional linear transformation that maps \(S\) to a line. We know that \(w_{1}=T(z_{1})\) has a unique reflection \(w_{2}\) over this line. Since \(T^{-1}\) preserves symmetry, \(z_{1}\) and \(z_{2}=T^{-1}(w_{2})\) are symmetric with respect to \(S\). Since \(w_{2}\) is the unique point symmetric to \(w_{1}\), the same is true for \(z_{2}\) vis-a-vis \(z_{1}\).
Extra :
This is all shown the figure below.

Definition :
The point \(z_{2}\) in the theorem is called the reflection of \(z_{1}\) over \(S\).