Definitions and properties
Definition :
A fractional linear transformation is a function of the form
\(\hspace{2cm}T(z)=\frac{az+b}{cz+d}\), where \(a,b,c,d\) are complex constants and \(ad-bc≠0\).
These are also called Möbius transforms or bilinear transforms. We will abbreviate fractional linear transformation as FLT.
Proposition
If \(ad-bc=0\) then \(T(z)\) is a constant function.
Proof
The full proof requires that we deal with all cases where some of the coefficients are \(0\). We'll give the proof assuming \(c≠0\) and leave the case \(c=0\) to the reader. Assuming \(c≠0\), the condition \(ad-bc=0\) implies
\(\hspace{5cm}\frac{a}{c}(c,d)=(a,b).\)
So
\(\hspace{5cm}T\left( z\right) =\frac{\left( \frac{a}{c}\right) \left( cz+d\right) }{cz+d}=\frac{a}{c}.\)
That is, \(T(z)\) is constant.
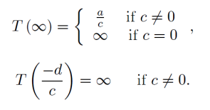
Extension to infinity
It will be convenient to consider linear transformations to be defined on the extended complex plane \(\mathbb{C}∪{∞}\) by defining
